Gebruiksaanwijzing & Veiligheidsinstructies Diamantzagen
Copyright cotoma
Versie 2025-1.0
Kennisname van deze handleiding
Gebruikers van diamantgereedschappen moeten deze handleiding voorafgaand aan het gebruik lezen, volledig begrijpen en toepassen. Bij twijfel is het verplicht de preventieadviseur te raadplegen of een gepaste opleiding aan te vragen.
cotoma wijst alle verantwoordelijkheid af in geval van ongevallen.
Diamantzagen voor droog gebruik
1. Toepassing
Diamantdroogzagen zijn ontworpen voor het droogzagen van beton, gewapend beton, baksteen, natuursteen en andere bouwmaterialen.
Alleen voor professioneel gebruik met geschikte haakse slijpmachines of doorslijpers zonder watertoevoer.
2. Veiligheidsvoorschriften
- Draag altijd persoonlijke beschermingsmiddelen: veiligheidsbril, gehoorbescherming, stofmasker, veiligheidshandschoenen.
- Controleer de zaag voor gebruik op beschadigingen of slijtage.
- Gebruik alleen goedgekeurde machines met beschermkap.
- Monteer de zaag correct, in de juiste draairichting aangegeven op de zaag.
- Overschrijd nooit het maximale toerental (RPM).
- Zaag niet nat.
- Vermijd oververhitting door zaagpauzes en lichte druk.
- Zorg voor voldoende ventilatie of afzuiging.
3. Montage
- Schakel machine uit en trek stekker uit stopcontact of verwijder accu.
- Controleer flenzen en as op beschadigingen of vuil.
- Monteer de zaag in draairichting van de machine en bevestig stevig.
- Controleer loop en centrering vóór gebruik.
4. Gebruik
- Start op laag toerental, laat machine op snelheid komen.
- Zaag met constante snelheid en lichte druk.
- Vermijd wrikken, draaien of zijwaartse druk.
- Laat de zaag afkoelen bij lange zaagsneden.
5. Onderhoud en opslag
- Reinig na gebruik met droge doek.
- Bewaar droog, beschermd tegen vocht en stoten.
- Controleer slijtage van segmenten of scheuren in de kern.
6. Aandachtspunten
- Gebruik geen beschadigde of verlopen zagen.
- Controleer diameter en asgat compatibiliteit.
- Vervang zaag bij versleten segmenten tot aan stalen kern of laserlasgedeelte.
Diamantzagen voor nat gebruik
1. Toepassing
Diamantnatzagen voor nat zagen van harde bouwmaterialen zoals beton, gewapend beton, tegels, keramiek, natuursteen en asfalt.
Voordelen nat zagen: verlengt de levensduur van de zaag en vermindert stofvorming.
2. Veiligheidsvoorschriften
- Draag: veiligheidsbril, gehoorbescherming, waterdichte handschoenen.
- Gebruik enkel machines geschikt voor nat zagen.
- Zorg voor constante watertoevoer.
- Niet droog gebruiken.
- Controleer zaagblad op slijtage, scheuren of beschadiging.
-
Monteer de zaag correct, in de juiste draairichting aangegeven op de zaag.
-
Zorg voor een schone, stabiele werkplek met goede afwatering om uitglijden te voorkomen.
- Vermijd aanraking met draaiende delen en zorg voor aarding.
3. Montage
- Schakel machine uit en koppel stroom los.
- Controleer flenzen en as op schade of vuil.
- Monteer zaag in juiste draairichting en bevestig stevig.
- Sluit watertoevoer aan en controleer werking.
4. Gebruik
- Open watertoevoer volledig vóór starten.
- Laat machine op toeren komen.
- Zaag met lichte, constante druk; laat blad het werk doen.
- Vermijd zijwaartse druk of wrikken.
- Zorg dat materiaal stabiel ligt.
5. Onderhoud en opslag
- Reinig zaagblad en machine grondig met water.
- Controleer slijtage segmenten en kern.
- Bewaar droog en beschermd tegen stoten of corrosie.
- Ontkoppel watertoevoer en droog onderdelen.
6. Belangrijke aandachtspunten
- Gebruik enkel water als koelmiddel.
- Zorg voor afvoer of opvang water.
- Stop bij trillingen, rook of abnormale geluiden.
- Vervang zaag bij versleten segmenten tot stalen kern of laserlasgedeelte.
Machinegevaar
- Sta nooit in de zaaglijn
- Sta altijd zijwaarts
- Gebruik beide handen
- Positioneer voeten stabiel
- Laat machine werk doen zonder forceren

Instructions d’utilisation & Instructions de sécurité Disques diamantés
Copyright cotoma
Versie 2025-1.0
Prise de connaissance de ce manuel
Les utilisateurs d’outils diamantés doivent lire, comprendre entièrement et appliquer ce manuel avant toute utilisation.
En cas de doute, il est obligatoire d’informer le conseiller en prévention afin d’obtenir des informations ou de demander une formation appropriée.
cotoma décline toute responsabilité en cas d’accident.
Scies diamantées pour coupe à sec
1. Application
Les scies diamantées à sec sont conçues pour la coupe à sec de matériaux de construction tels que béton, béton armé, brique, pierre naturelle et autres.
Réservées à un usage professionnel avec meuleuses angulaires ou découpeuses adaptées, sans alimentation en eau.
2. Consignes de sécurité
- Portez toujours des équipements de protection individuelle : lunettes de sécurité, protection auditive, masque anti-poussière et gants de protection.
- Vérifiez le disque avant chaque utilisation pour détecter d’éventuels
- dommages ou signes d’usure.
- Utilisez uniquement des machines approuvées, équipées d’un capot de protection.
- Montez le disque correctement et solidement, en respectant le sens de rotation indiqué sur le disque.
- Ne dépassez jamais la vitesse maximale (RPM) indiquée sur le disque.
- N’utilisez pas le disque pour une coupe humide – cela peut endommager le disque et entraîner des situations dangereuses.
- Évitez la surchauffe: effectuez des coupes par intervalles et sans appliquer une pression excessive.
- Assurez une ventilation adéquate ou un système d’aspiration pour limiter la formation de poussière.
3. Montage
- Éteignez la machine et débranchez-la ou retirez la batterie.
- Vérifiez que les flasques et l’arbre sont exempts de dommages ou de saletés.
- Montez le disque dans le sens de rotation de la machine (indiqué par la flèche).
- Fixez le disque solidement à l’aide des flasques appropriés.
- Contrôlez la stabilité et le centrage du disque avant utilisation.
4. Utilisation
- Démarrez la machine à faible vitesse et laissez-la atteindre la pleine vitesse avant de commencer à couper.
- Avancez avec une vitesse constante et une pression légère.
- Évitez de forcer, de tourner ou d’appliquer un e pression latérale.
- Laissez le disque refroidir entre les longues coupes ou lors de la coupe de matériaux très durs.
5. Entretien et stockage
- Nettoyez le disque avec un chiffon sec après usage.
- Stockez le disque dans un endroit sec, à l’abri de l’humidité et des chocs.
- Vérifiez régulièrement l’usure des segments ou la présence de fissures dans le noyau.
6. Points importants
- N’utilisez jamais de disques endommagés ou périmés.
- Vérifiez la compatibilité du diamètre du disque et de l’alésage avec votre machine.
- Remplacez le disque si les segments diamantés sont usés jusqu’au noyau en acier ou la base soudée au laser.
Scies diamantées pour coupe à eau
1. Application
Les scies diamantées à eau sont conçues pour la coupe humide de matériaux de construction durs tels que le béton, le béton armé, les carreaux, la céramique, la pierre naturelle et l’asphalte. La coupe à l’eau prolonge la durée de vie du disque et réduit la formation de poussière.
2. Consignes de sécurité
- Portez toujours des équipements de protection : lunettes de sécurité, protection auditive, gants imperméables et chaussures de sécurité.
- Utilisez uniquement des machines adaptées à la coupe humide (ex. coupe-carreaux, scies de table, découpeuses avec alimentation en eau).
- Assurez un débit constant d’eau vers le disque pendant la coupe.
- N’utilisez jamais une scie à eau à sec – cela peut provoquer une surchauffe et endommager le disque.
- Contrôlez le disque avant chaque utilisation : usure, fissures, dommages.
- Montez le disque correctement, en respectant le sens de rotation indiqué.
- Travaillez sur une surface propre, stable, avec un bon drainage pour éviter les glissades.
- Évitez tout contact avec les pièces en rotation et assurez une mise à la terre correcte des équipements électriques.
3. Montage
- Éteignez la machine et débranchez-la de l’alimentation électrique.
- Vérifiez que les flasques et l’arbre sont en bon état et propres.
- Montez le disque dans le bon sens de rotation.
- Fixez le disque fermement, selon les instructions du fabricant de la machine.
- Raccordez l’arrivée d’eau et vérifiez son bon fonctionnement.
4. Utilisation
- Ouvrez complètement l’arrivée d’eau avant de commencer à couper.
- Laissez la machine atteindre sa vitesse de rotation avant de toucher le matériau.
- Évitez toute pression latérale ou tout forçage du disque.
- Sciez avec soin et bien soutenu.
5. Entretien et stockage
- Nettoyez soigneusement le disque et la machine à l’eau après chaque utilisation.
- Vérifiez régulièrement l’usure des segments et l’absence de fissures dans le noyau.
- Rangez le disque dans un endroit sec, à l’abri de la corrosion et des chocs.
- Débranchez l’arrivée d’eau et séchez les composants pour éviter le calcaire et la rouille.
6. Points importants
- Utilisez uniquement de l’eau comme liquide de refroidissement.
- Veillez à un bon drainage ou à un système de récupération de l’eau
- pendant la coupe.
- Arrêtez immédiatement si vous ressentez des vibrations, voyez de la fumée ou entendez des bruits anormaux.
- Remplacez le disque si les segments diamantés sont usés jusqu’au noyau en acier ou la base soudée au laser.
Risque lié aux machines
- Ne jamais se tenir dans la ligne de coupe.
- Toujours se positionner à l’écart.
- Utiliser les deux poignées.
- Adopter une position stable.
- Laisser la machine travailler sans forcer.

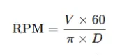
Maximale omtreksnelheid / Vitesse périphérique maximale (EN 13236)
| Toepassing / Application | Diameter (mm) | Max. snelheid / m/s |
| Handmatig (droog/nat) / Manuel (sec/eau) | 100–230 | 80 |
| Stationair / Fixe | 300–400 | 100 |
| Grote diameters / Cas particuliers | variabel | 63 of minder |
Formule / Formule:
V = omtreksnelheid / vitesse périphérique (m/s)
D = diameter / Diamètre (mm)
